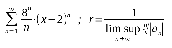
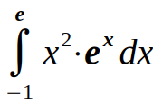
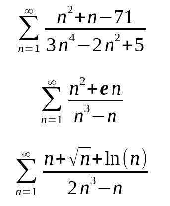
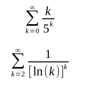
#deutschUnmoderated tagAll PostsTrending TagsExplore CommunitiesEcoerCurators CommunityBlurt SpaceBlurt LifeStyleBlurtconnectBlurt Open Circle ⭕Blurt PakistanPhotography LoversWolne MediaInformation WarCaturdayBilpcoin#deutschTrendingHotNewMutedPayoutciderjunkie in # dagamers • 8 hours ago • 4 min readWir arbeiten am Village... NEUE EMOTES -- 🔊 Soundalerts 🔥 .... !SUPPORT !MERCH !MASKciderjunkie is live on Twitch streaming Medieval DynastyClick here to view the stream ? MASK MADNESS IS BACK! ?You asked for it – now it's coming back stronger, crazier, and wilder than…kryptodenno in # blurtgerman • 16 hours ago • 1 min read16000 BlurtPower - Delegation Raffle / Delegationsverlosung #1819 (incl. Winner of #1811)Dear BLURTians, if you are interested in a delegation of 16000 Blurt for one month, my raffles are the perfect chance for you. Basically it's very easy! Play fair and leave a simple comment.…udabeu in # deutsch • 22 hours ago • 11 min read#Sonderephelkostionschleppen.. #Verfluechtigtendendes .. So , da ist #Es im Heute , und #Es hat noch etwas mehr als zwei Stundende bis zur Datumsgrenze , #Es ist bemampft und in der FabrÏkatÏon läuft eine der ParallelÏtäten …mein-senf-dazu in # deutsch • yesterday • 2 min readSearch function missing in the Ecency app - Suche fehlt in der Ecency AppEN (DE unten) Hello dear community, I recently noticed something else that I think is missing from the @ecency app. A text search function within posts themselves, or in the comments on a…maxinpower in # japan • yesterday • 3 min readSome first autums colors =/= Die ersten Herbstfarben 👹🍣🎎 Wonderful Japan ENG-GERIt's autumn, which means it's time for some color change. The late season we've finally slipped into is probably the most vibrant of all, so it's not difficult to spot a few colorful scenes these…ciderjunkie in # dagamers • yesterday • 4 min readWir arbeiten am Village... NEUE EMOTES -- 🔊 Soundalerts 🔥 .... !SUPPORT !MERCH !MASKciderjunkie is live on Twitch streaming Medieval DynastyClick here to view the stream ? MASK MADNESS IS BACK! ?You asked for it – now it's coming back stronger, crazier, and wilder than…kryptodenno in # blurtgerman • yesterday • 1 min read16000 BlurtPower - Delegation Raffle / Delegationsverlosung #1818 (incl. Winner of #1810)Dear BLURTians, if you are interested in a delegation of 16000 Blurt for one month, my raffles are the perfect chance for you. Basically it's very easy! Play fair and leave a simple comment.…udabeu in # deutsch • 2 days ago • 11 min read#Oftokneotionmodi.. #Uffologendendes .. Puha , da ist #Es , viereinhalb Stundende vor optÏmal und muss erstmal ´was niedertippen , ja , haueha , das hat KonzentratÏon gekostet , au weia , hihi ? Genau , das Jahr…nerdtopiade in # dagamers • 2 days ago • 1 min read[GER/ENG]Noch ein bisschen Wischen mit Kanratnerdtopiade is live on Twitch streaming Tom Clancy's The Division 2Click here to view the streamHeute ist ein Ubisoft Tag .Erst HOMM 5 und jetzt Division 2. Wische ein bisschen mit @kanrat durch New…mein-senf-dazu in # deutsch • 2 days ago • 1 min readJust a misunderstanding? - Nur ein Missverständnis?EN Hello dear community, The biggest liquidation in crypto history based on just one misunderstanding? What do you think? Was it a misunderstanding or just another strategic move? Were…nerdtopiade in # dagamers • 2 days ago • 1 min read[GER/ENG]Kampagne und sonerdtopiade is live on Twitch streaming Heroes of Might and Magic VClick here to view the streamDie Challenge haben wir gewonnen beim letzten mal ,also spielen wir was neues . Ihr habt für Heroes of…maxinpower in # japan • 2 days ago • 3 min readAfter all, life is beautiful =/= Das Leben ist doch schön 👹🍣🎎 Wonderful Japan ENG-GERThere are some places that I am drawn back to again and again, and over the last few years, several pictures from these places have repeatedly found their way into my blog here. Sometimes I write in…ciderjunkie in # dagamers • 2 days ago • 4 min readPART 31 GRINDING HARD- NEUE EMOTES -- 🔊 Soundalerts 🔥 .... !SUPPORT !MERCH !MASKciderjunkie is live on Twitch streaming ARK: Survival EvolvedClick here to view the stream ? MASK MADNESS IS BACK! ?You asked for it – now it's coming back stronger, crazier, and wilder than…kryptodenno in # blurtgerman • 2 days ago • 1 min read16000 BlurtPower - Delegation Raffle / Delegationsverlosung #1817 (incl. Winner of #1809)Dear BLURTians, if you are interested in a delegation of 16000 Blurt for one month, my raffles are the perfect chance for you. Basically it's very easy! Play fair and leave a simple comment.…udabeu in # deutsch • 3 days ago • 11 min read#Neosphyrationstiele.. #Hammeriertendendes .. So , aha , da ist #Es also , hat noch etwas mehr als zweieinhalb Stundende bis zur Datumsgrenze und die Mampfe brutzeliert wohl noch eine ganze WeÏle , eine halbe Stunde…mein-senf-dazu in # deutsch • 3 days ago • 6 min read41-2025 Saturday Savers ClubEN (DE unten) Hello dear community, what a night/morning. Once again, our dear president has sent the markets into a tailspin. Only a mischievous person would think of fraud and insider trading…ozelot47 memberin Curators Community • 3 days ago • 2 min readKonvergenzradius einer Reihe bestimmenDeutsch Der Konvergenzradius einer Potenzreihe gibt an wie weit man sich von einer Stelle entfernen darf bis die Konvergenzeigenschaft verloren geht. Der Radius oder kleinste oberer Schranke wird…maxinpower in # japan • 3 days ago • 4 min readUndokai-Tag - Rot gegen Weiß 👹🍣🎎 Mein JapanVor kurzem war wieder mal Undokai-Zeit. Undokai (運動会) ist die Bezeichnung für die vielen Schulsportfeste in Japan, und wie so vieles hier unterscheidet es sich stark von den Sportfesten, an die ich…kryptodenno in # blurtgerman • 3 days ago • 1 min read15000 BlurtPower - Delegation Raffle / Delegationsverlosung #1816 (incl. Winner of #1808)Dear BLURTians, if you are interested in a delegation of 15000 Blurt for one month, my raffles are the perfect chance for you. Basically it's very easy! Play fair and leave a simple comment.…ciderjunkie in # dagamers • 3 days ago • 4 min readPART 30 GRINDING HARD- NEUE EMOTES -- 🔊 Soundalerts 🔥 .... !SUPPORT !MERCH !MASKciderjunkie is live on Twitch streaming ARK: Survival EvolvedClick here to view the stream ? MASK MADNESS IS BACK! ?You asked for it – now it's coming back stronger, crazier, and wilder than…